• Предмет: Алгебра
  • Автор: Hunta123
  • Вопрос задан 8 лет назад

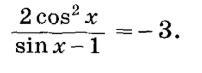
Решите уравнение, задание во вложении

Приложения:

Ответы

Ответ дал: ZLOYTIGROVSKIY
0

~•~•~•ZLOY_TIGROVSKIY~•~•~•

Приложения:
Вас заинтересует