Ответы
Ответ дал:
0
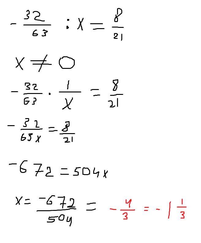
Полное решение представлено в прикрепленном изображении.
Приложения:

Ответ дал:
0
Ты на граф. планшете писал или мышкой?)
Вас заинтересует
2 года назад
2 года назад
3 года назад
3 года назад
8 лет назад
8 лет назад
9 лет назад