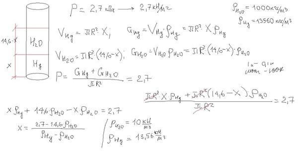
В цилиндрический сосуд налиты по массе количества воды и ртути.общая высота столба жидкостей в сосуде 14.6 см определите гидростатическое давление на дно
Ответы
Ответ дал:
0
Вот, держите вложение:
Приложения:

Вас заинтересует
2 года назад
2 года назад
3 года назад
3 года назад
8 лет назад
8 лет назад