Ответы
Ответ дал:
0
Ответ:
Пошаговое объяснение:
Приложения:

Ответ дал:
0
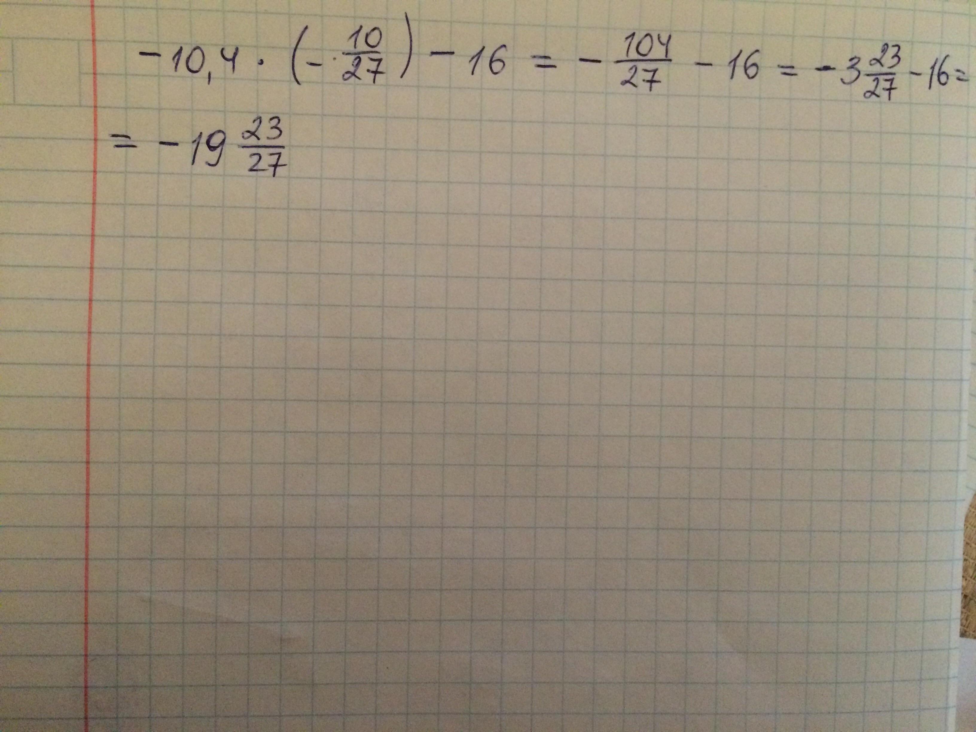
-10 целых 2/5 * 10/27 - 16 = -52/5 * 10/27 - 16 = - 104/27 - 16 = -3 целых 23/27 - 16 = -19 23/27
Приложения:

Вас заинтересует
2 года назад
2 года назад
3 года назад
8 лет назад
8 лет назад
9 лет назад