ПОЖАЛУЙСТА ПОМОГИТЕ ПОМОГИТЕ ПОЖАЛУЙСТА ДАЮ МАКСИМАЛЬНЫЕ БАЛЛЫ ОТМЕЧАЮ ОТВЕТ ЛУЧШИМ пара простых примеров, решайте по заданию МАТЕМАТИКА 5-6кл примеры в прикреплённом файле
Приложения:

Ответы
Ответ дал:
0
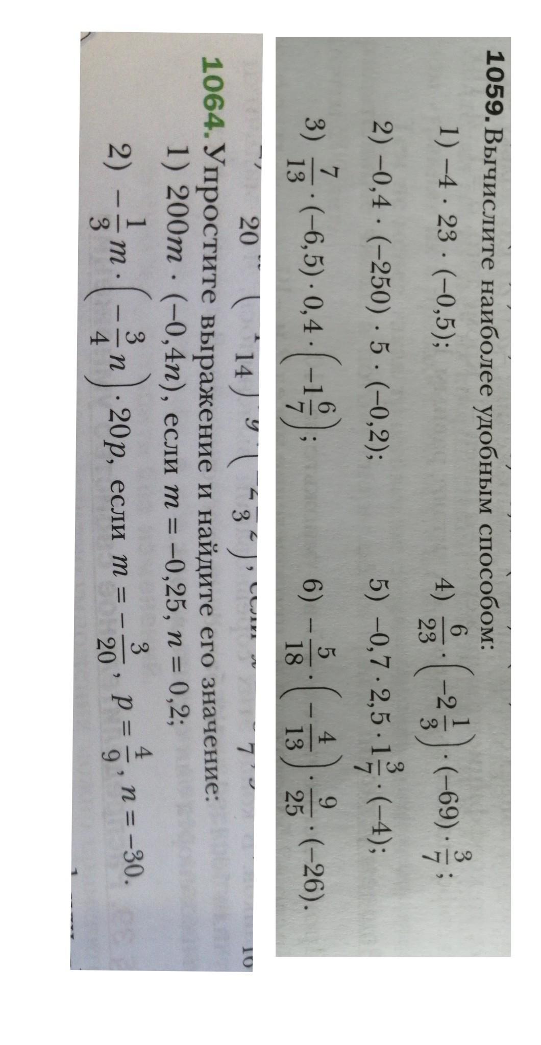
Номер 1059.
1) -4*23*(-0,5)=4*23*0,5=46
2) -0,4*(-250)*5*(0,2)=0,4*250*5*0,2=100*5*0,2=100
3) 7/13*(-6,5)*0,4*(-1 6/7)=7/13*(-13/2)*2/5*(-13/7)=7/13*13/2*2/5*13/7=1/5*13=15/5
4) 6/25*(-2 1/3)*(-69)*3/7=6/25*(-7/3)*(-69)*3/7=6/25*69=414/25
5) -0,7*2,5*1 3/7*(-4)=-7/10*5/2*13/7*(-4)=1/2*13*2=13
6) -5/18*(-4/13)*9/25*(-26)=-1/2*4*1/5*2=-4*1/5=-4/5
Номер 1064.
Приложения:

Ответ дал:
0
Спасибо!
Вас заинтересует
2 года назад
3 года назад
3 года назад
8 лет назад
8 лет назад
9 лет назад