• Предмет: Математика
  • Автор: lenka12sam
  • Вопрос задан 8 лет назад

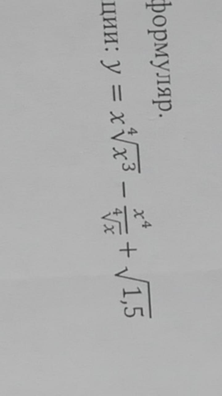
Найдите производную данной функции

Приложения:

Ответы

Ответ дал: natalyabryukhova
0

Ответ:

Пошаговое объяснение:

Приложения:
Вас заинтересует