• Предмет: Алгебра
  • Автор: vivivevevivi
  • Вопрос задан 8 лет назад

очень срочно надо, надеюсь на вас

Приложения:

Ответы

Ответ дал: maksimcat
0

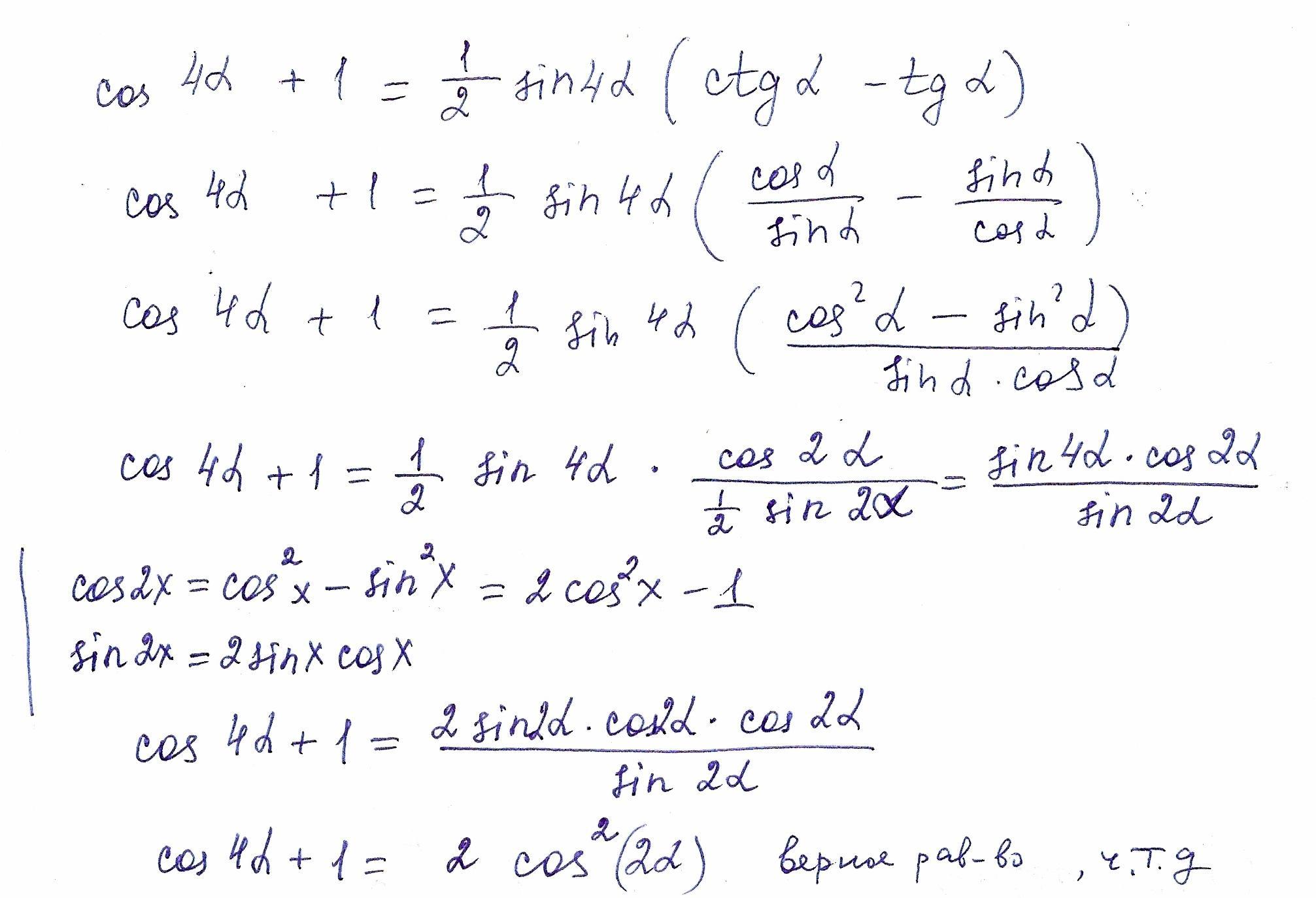
ответ на фото\\\\\\\\\\\\\\\\\\\\\\\\\\\\

Приложения:
Ответ дал: Аноним
0
"Уважаемый Главный мозг Maksimcat, доброе утро! У вас очень полные и понятные ответы. Если вам несложно, то можете сказать название программы, с помощью которой вы пишете решение в последнее время, а то раньше вы писаои я так поняла от руки. Спасибо за понимание!"
Вас заинтересует