Ответы
Ответ дал:
0
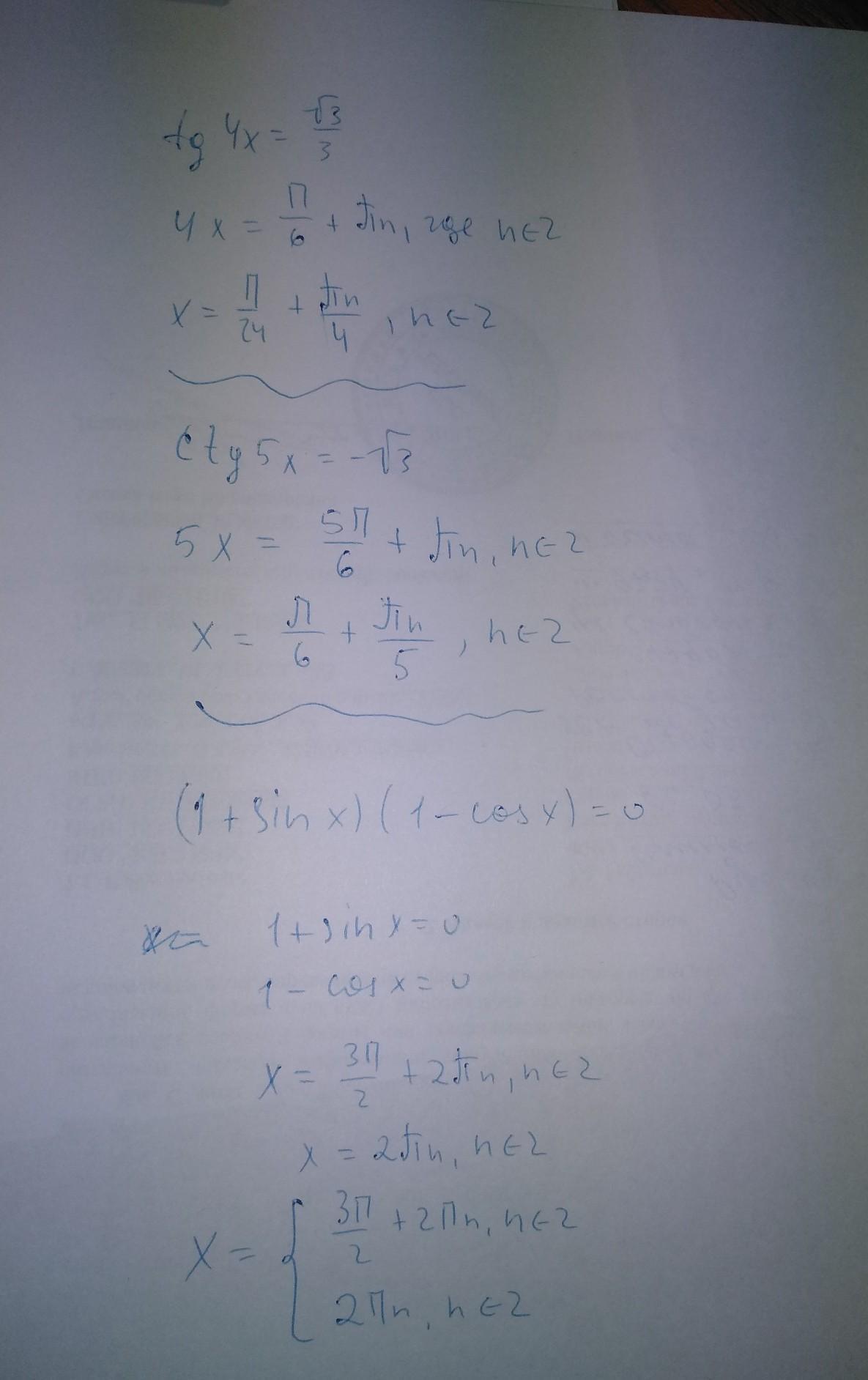
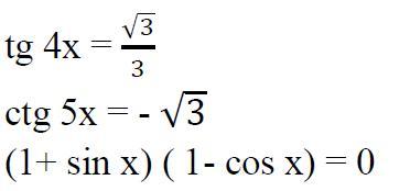
Ну, вроде бы вот так. сорян что без объяснений и графика
Приложения:

Вас заинтересует
2 года назад
3 года назад
3 года назад
8 лет назад
8 лет назад
9 лет назад