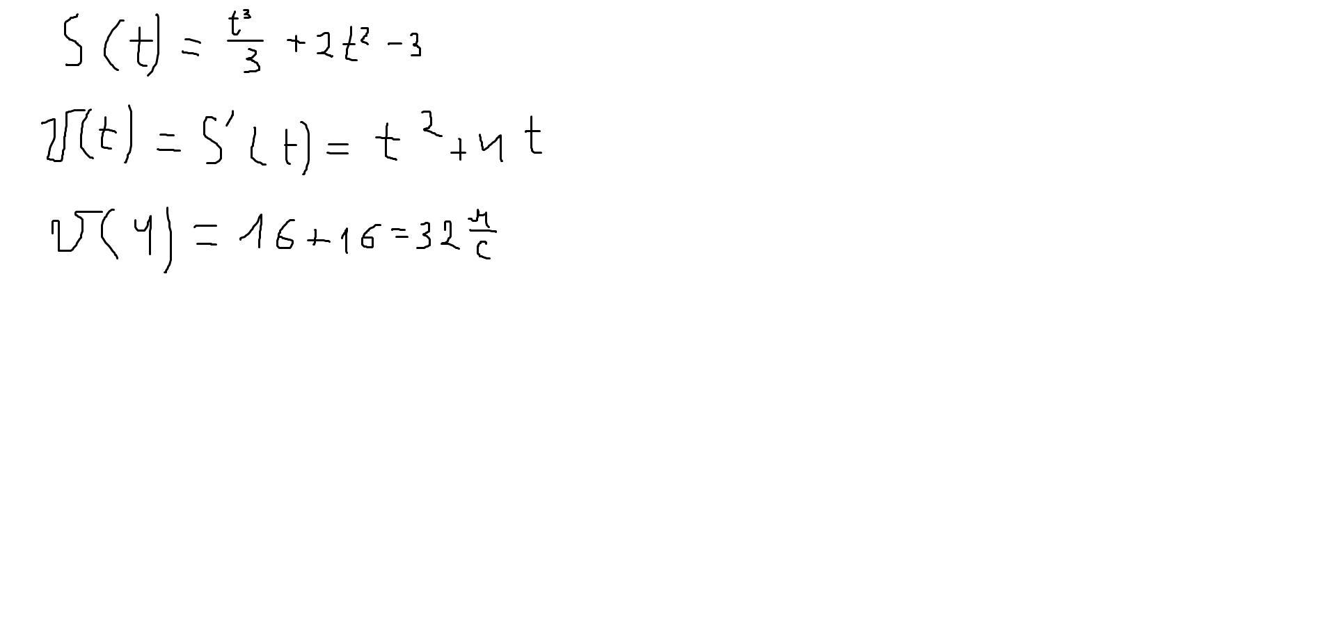
1)Найти зависимость пути при прямолинейном движение точки задана уравнением S=1/3 t³+2t²-3
2) Найти её скорость в момент времени t=4c
Ответы
Ответ дал:
0
Тут все по производной степенной функции , думаю все понятно
Приложения:

Вас заинтересует
2 года назад
2 года назад
3 года назад
3 года назад
8 лет назад
8 лет назад
9 лет назад