• Предмет: Математика
  • Автор: Lenalena93
  • Вопрос задан 8 лет назад

помогите пожалуйста решить по действиям
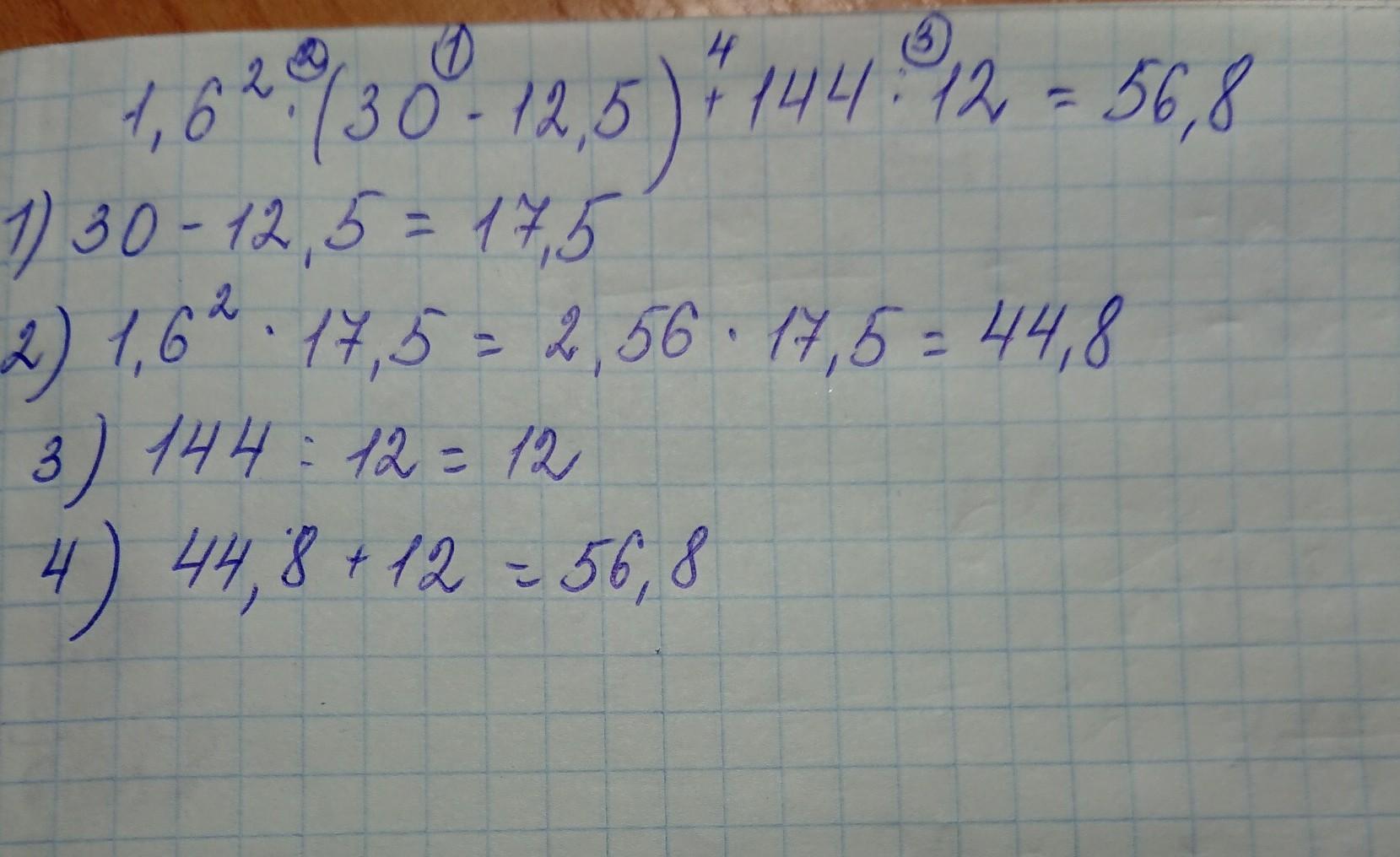
1,6²· (30-12,5)+144÷12

Ответы

Ответ дал: Зая814
0

Ответ:

56,8

Пошаговое объяснение:

1) 1,6²= 1,6 · 1,6 = 2,56

2) 30-12,5 = 17,5

3) 144 ÷ 12 = 12

4) 2,56 · 17,5 = 44,8

5) 44,8+12 = 56,8

Ответ дал: magnolia001
0

Решение на фото...

Ответ 56,8

Приложения:
Вас заинтересует