Ответы
Ответ дал:
0
Ответ смотри в файле
Приложения:

Ответ дал:
0
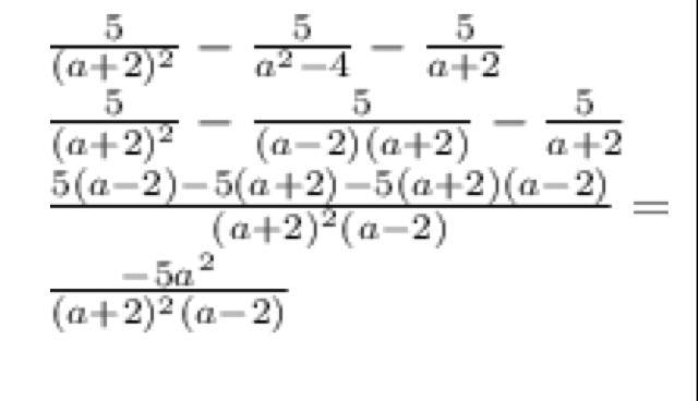
Держи раз срочно, сори за качество
Приложения:

Вас заинтересует
2 года назад
2 года назад
3 года назад
3 года назад
8 лет назад
8 лет назад