Помогите пожалуйста. Нарисуйте прямоугольник, у которого ширина равна 2 см, а длина на 3 см больше. Найдите длину прямоугольника и его периметр?
Ответы
Ответ дал:
0
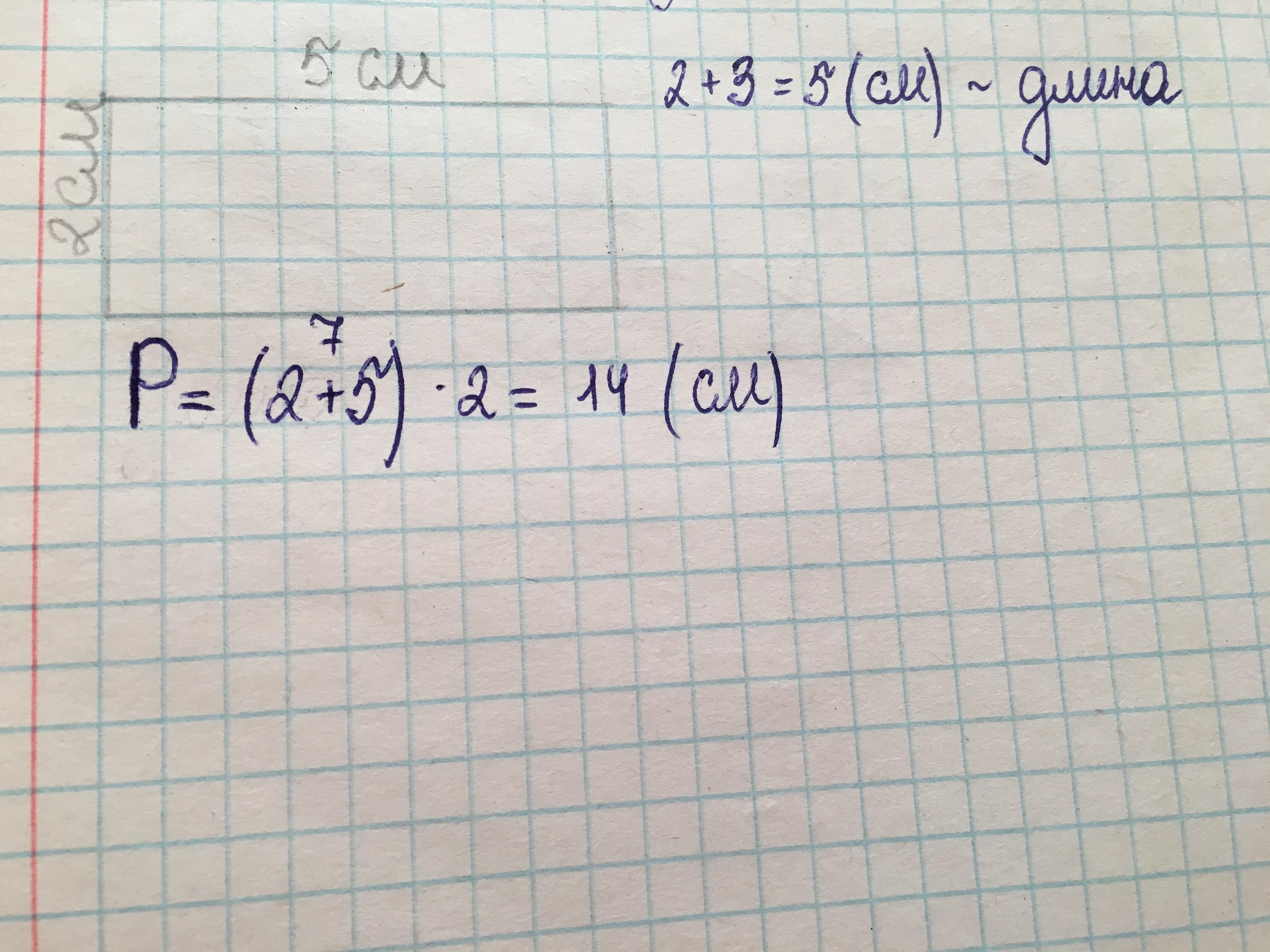
Решение на фото. Надеюсь, помогла
Приложения:


Ответ дал:
0
Ответ:
Пошаговое объяснение:
Приложения:

Вас заинтересует
2 года назад
2 года назад
3 года назад
3 года назад
8 лет назад
8 лет назад
9 лет назад