• Предмет: Алгебра
  • Автор: margalita712
  • Вопрос задан 8 лет назад

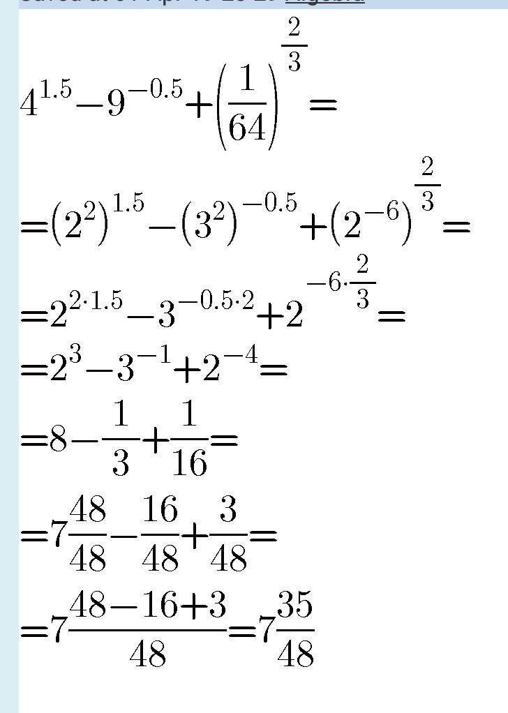
один пример,вроде бы решаю правильно , но не могу получить похожего ответа

Приложения:

Ответы

Ответ дал: akhunovaaliyap6akzm
0

Может в вариантах ответов нет правильного ответа?

Приложения:
Ответ дал: margalita712
0
у меня тот же ответ получился
Вас заинтересует