• Предмет: Математика
  • Автор: jive2000
  • Вопрос задан 8 лет назад

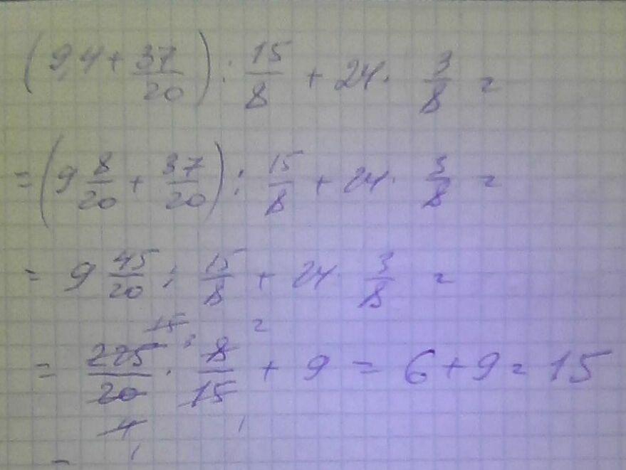
(9,4+37/20):15/8+24•3/8​

Ответы

Ответ дал: katya20804
0

1)37 div 20 = 1.85 \ 2)9.4 + 1.85 = 11.25 \ 3)15 div 8 = 1.875 \ 4)24 times 3 = 72 \ 5)72 div 8 = 9 \ 6)11.25 div 1.875 = 6 \ 7)6 + 9 = 15

Ответ дал: Аноним
0
а если с обыкновенными дробями?
Ответ дал: Аноним
0
сейчас сделаю ...
Ответ дал: Аноним
0

= решение = решение = решение = решение = решение =

Приложения:
Вас заинтересует