• Предмет: Математика
  • Автор: sksieo
  • Вопрос задан 8 лет назад

помогите решить задачу пожалуйста! Если что нужен ответ с доказательством​

Приложения:

Ответы

Ответ дал: aliyas1
0

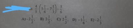
 frac{4}{5} (5 frac{1}{4}  - 7 frac{1}{3} ) -  frac{5}{6}  =  \  =  frac{4}{5} ( frac{21}{4}  -  frac{22}{3} ) -  frac{5}{6}  =  \  = frac{4}{5} (  frac{21 times 3 - 22 times 4}{12} ) -  frac{5}{6}   =  \  = frac{4}{5} (  frac{63 - 88}{12} ) -  frac{5}{6}   = \  = frac{4}{5}  times ( -  frac{25}{12})  -  frac{5}{6}    =  -  frac{5}{3} -  frac{5}{6} =  \  =  frac{ - 5 times 2 - 5}{6}  =  -  frac{15}{6}  =   \  = - 2 frac{3}{6}  =  - 2 frac{1}{2}

Ответ: А

Вас заинтересует