• Предмет: Алгебра
  • Автор: sunok1983
  • Вопрос задан 8 лет назад

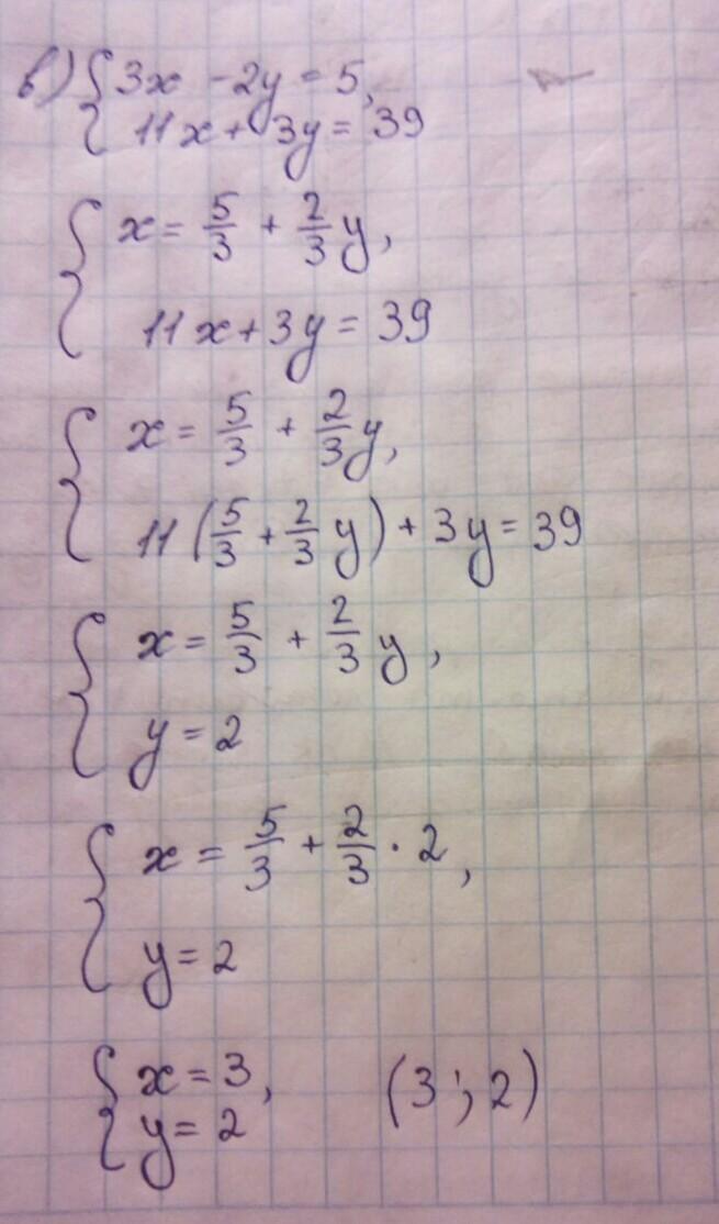
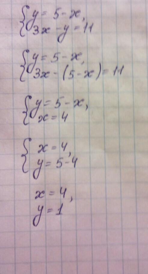
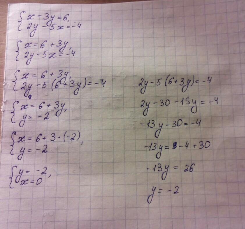
30 Балов решить с помощью метода подстановки

Приложения:

Ответы

Ответ дал: milka20193101
0

а) (0; -2)

б) (4;1)

в) (3;2)

Приложения:
Вас заинтересует