• Предмет: Математика
  • Автор: мороженкаAikas
  • Вопрос задан 8 лет назад

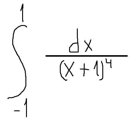
Вычислить несобственный интеграл и установить расходимость:

Приложения:

Ответы

Ответ дал: hello93
0

Ответ:

Интеграл расходится

Пошаговое объяснение:

intlimits^1_{-1} {frac{dx}{(x+1)^4}} = lim_{varepsilonto 0} intlimits^1_{-1+varepsilon} {frac{dx}{(x+1)^4}}= lim_{varepsilonto 0} ( -frac{1}{3(x+1)^3})bigg|^1_{-1+varepsilon}=lim_{varepsilonto 0}(-frac{1}{24}+frac{1}{3varepsilon^3})=infty-frac{1}{24}=infty

Т. к предел равен бесконечности интеграл расходится

Вас заинтересует