• Предмет: Математика
  • Автор: Аноним
  • Вопрос задан 8 лет назад

Всё пожалуйста подробно!!!
6 класс

Приложения:

Ответы

Ответ дал: lassi05
0

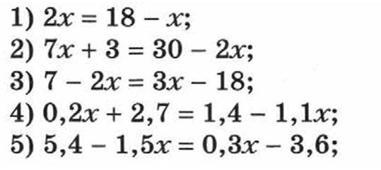
1)2x=18-x

2x+x=18

3x=18|:3

x=6

2)7x+3=30-2x

7x+2x=30-3

9x=27|:9

x=3

3)7-2x=3x-18

-3x-2x=-7-18

-5x=-25|:(-5)

x=5

4)0,2x+2,7=1,4-1,1x

0,2x+1,1x=1,4-2,7

1,3x=1,3|:1,3

×=1

5)5,4-1,5x=0,3x-3,6

-0,3x-1,5x=-5,4-3,6

-1,8×=-9|:(-1,8)

x=5

Ответ дал: Аноним
0
Спасибо!
Ответ дал: lassi05
0
пожалуйста
Ответ дал: alexgord282486
0

1) Переносим x в правую сторону, меняем знак. Получается 3x=18. Делим все на 3. X=6.

2)X переносим в одну сторону, числа в другую. Выполняем сложение и вычитание. Получаем 9x=27. Делим на 9, получаем x=3.

Аналогично дальше.

3)7-2x=3x-18

5x=25

X=5

4)0,2x+2,7=1,4-1,1x

1,3x=-1,3

X=-1

5)5,4-1,5x=0,3x-3,6

1,8x=9

X=5

Ответ дал: Аноним
0
Вам тоже спасибо! У вас очень хорошо расписанно!
Вас заинтересует