Ответы
Ответ дал:
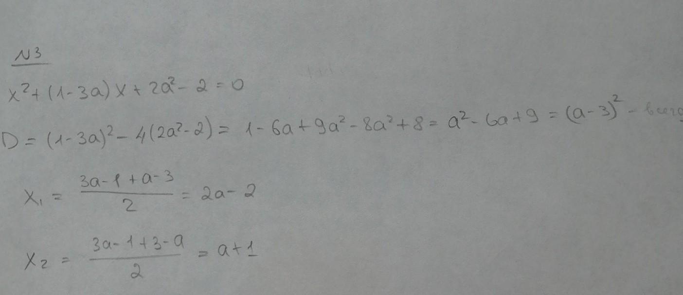
0
Там, где обрезалось
.. всегда больше или равен 0
Приложения:

Вас заинтересует
2 года назад
3 года назад
3 года назад
8 лет назад
8 лет назад