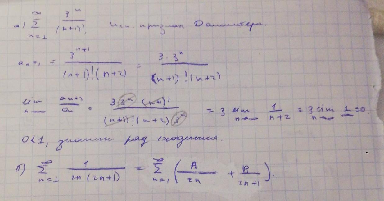
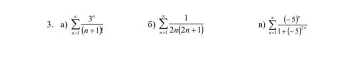
Ответы
Ответ дал:
2
////////////////////////////
Приложения:


Вас заинтересует
2 года назад
2 года назад
2 года назад
7 лет назад
9 лет назад