• Предмет: Математика
  • Автор: coolnastyag201
  • Вопрос задан 8 лет назад

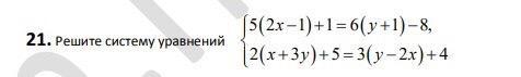
решить систему
срочно

Приложения:

Ответы

Ответ дал: glassha
0

отввет: (2/13;-1/13).

Приложения:
Вас заинтересует