• Предмет: Алгебра
  • Автор: homebaby49
  • Вопрос задан 8 лет назад

Решите и распишите уравние, пожалуйста. Найдите меньший корень.
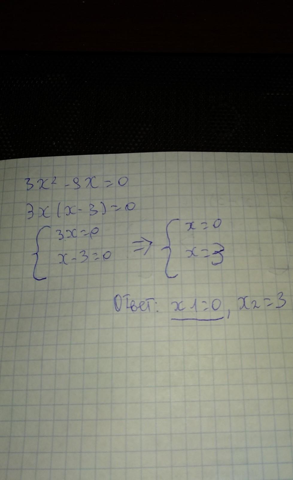
3х^2-9х=0

Ответы

Ответ дал: ZLOYTIGROVSKIY
0

3x {}^{2}  - 9x = 0 \  \ 3x times (x - 3) = 0 \  \ x times (x - 3) = 0 \  \ x1 = 0 \  \ x - 3 = 0 \  \ x2 = 3

Ответ: Меньший корень равен нулю

~•~•~•ZLOY_TIGROVSKIY~•~•~•

Ответ дал: alex322z
0

**********************

Приложения:
Вас заинтересует