• Предмет: Алгебра
  • Автор: alinazayczewa2
  • Вопрос задан 8 лет назад

найти производную функцию x^{3} + 0,5x^{2} - x +5

Ответы

Ответ дал: KanzArtem11
0

Ответ:

3x^2 + x - 1

Объяснение:

Найти производную функциИ

3x^2 + x - 1

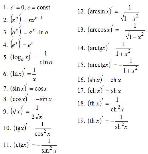
UPD: Если не знаешь производные, пользуйся таблицей. Тут ничего сложного нет.

Приложения:
Ответ дал: mrdima2025
0
Производные часто попадаются,вот и учим.Это ещё ладно, первообразная сложнееееееееее
Ответ дал: valenivan
0
Важно уметь пользоваться. Я всегда привожу пример. В вазе лежат фрукты: яблоко, слива, абрикос, персик и т. д. Мы не знаем, как выглядит тот или иной фрукт, просят взять яблоко. Что взять? А если знаем, то это уже не сложно. Так и в математике, важно понимать, где и что взять, как применить.
Ответ дал: mrdima2025
0
да ладно-_-
Ответ дал: mrdima2025
0
забавно
Ответ дал: mrdima2025
0
ха
Ответ дал: mrdima2025
0

у=х³+0,5х²-х+5

у'=3х²+х-1

Если что,обращайся

Приложения:
Вас заинтересует