• Предмет: Алгебра
  • Автор: Andrewboy
  • Вопрос задан 8 лет назад

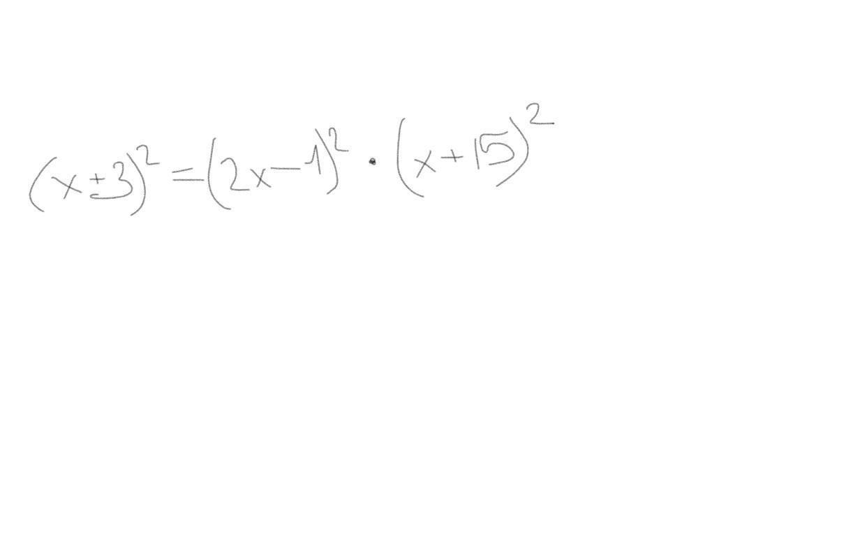
20Баллов! Прошу решить пример!

Приложения:

Ответы

Ответ дал: kekrj
0

Ответ:

25 ответ я думаю

Объяснение:

Ответ дал: Andrewboy
0
Ну, я безумно за тебя рад, но мне необходимо расписанное решение.
Ответ дал: kekrj
0
ой
Ответ дал: kekrj
0
ну в этом я тебе не помошник
Ответ дал: mariya2016
0

Ответ:

Объяснение:

хx^{2} +6x+9=(4x^{2} -4x+2)*(x^{2} +30x+225)

Вас заинтересует