Срочно, помогите пожалуйста, нужно подробное объяснение и рисунок к нему :с
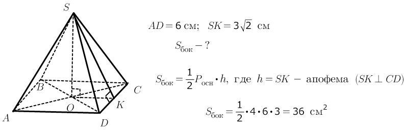
В правильной четырёхугольной пирамиде со стороной основания 6см, проведена апофема 3 корня из 2 см. Найдите боковую поверхность пирамиды.
Ответы
Ответ дал:
0
Ответ: 36 см².
Пошаговое объяснение:
Площадь боковой поверхности пирамиды равна половине периметра основы на апофему, исходя из этого нужно подставить данные из условия.
Приложения:

Вас заинтересует
2 года назад
3 года назад
8 лет назад
8 лет назад
9 лет назад