• Предмет: Математика
  • Автор: andlike1
  • Вопрос задан 8 лет назад

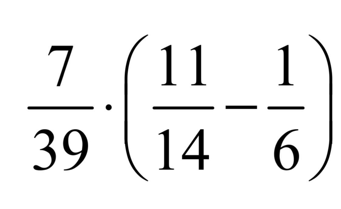
Помогите решить дроби.

Приложения:

Ответы

Ответ дал: Amigo3
0

Ответ: 1) 11/14-1/6=(11*3-7)/42=26/42=13/21.

2) 7/39*13/21=7*13/(39*21)=1/9.

Ответ: 1/9.

Пошаговое объяснение:

Вас заинтересует