• Предмет: Физика
  • Автор: VASHKAI
  • Вопрос задан 8 лет назад

Сила тока в проводнике 0,12 А, а приложенное напряжение на его концах 12 В. Как изменится сила тока на том проводнике, если напряжение уменьшить в 2 раза ?

Ответы

Ответ дал: analliufd
0

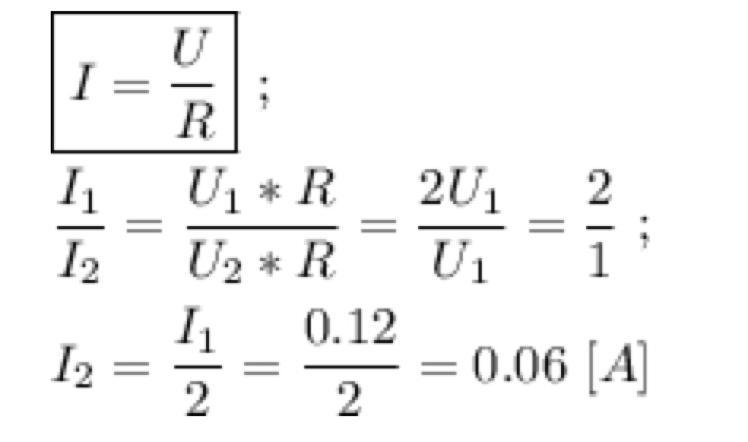
Дано: I₁ = 0.12 A; U₁ = 12 B , U₂ = U₁ / 2

Найти: I₂ - ?

Решение:

Приложения:
Ответ дал: Regent1828
0

Сила тока в проводнике:

                            I = U/R

После уменьшения напряжения сила тока составит:

                            I₁ = U₁/R = U/2R

Отношение токов:

                            I₁/I = U/2R : U/R = 1/2

Тогда:      I₁ = 0,5·I = 0,5 · 0,12 = 0,06 (А)

Приложения:
Вас заинтересует