• Предмет: Алгебра
  • Автор: 1ra8v4en5
  • Вопрос задан 8 лет назад

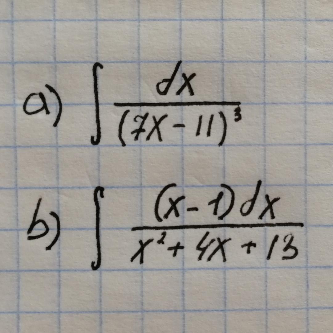
Неопределенный интеграл.
Помогите!!

Приложения:

Ответы

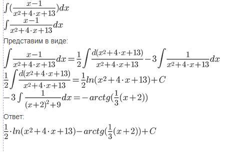
Ответ дал: marzhanmaken11
0

///////////////////////////////////////////////////////////////

Приложения:
Вас заинтересует