• Предмет: Алгебра
  • Автор: ireena
  • Вопрос задан 8 лет назад

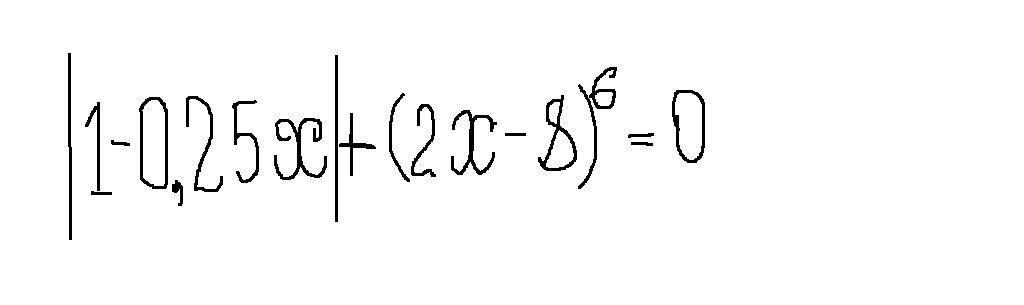
Пожалуйста, решите уравнение.

Приложения:

Ответы

Ответ дал: m11m
0

Ответ:

Объяснение:

!!!!!!!!!!!!!!!!!!!!!!!!!!

Приложения:
Вас заинтересует