• Предмет: Математика
  • Автор: sofiko228
  • Вопрос задан 8 лет назад

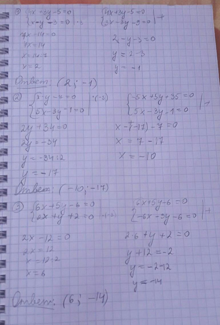
номер 1426,помогите пожалуйста сделать​

Приложения:

Ответы

Ответ дал: сок111213
0

Решение на фотографии .

Приложения:
Вас заинтересует