Ответы
Ответ дал:
0
Пошаговое объяснение:
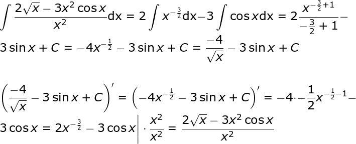
Я думаю, что всё расписал понятно
Приложения:

Ответ дал:
0
Более чем, спасибо большое))))
Вас заинтересует
2 года назад
2 года назад
3 года назад
3 года назад
8 лет назад
8 лет назад
9 лет назад
9 лет назад