• Предмет: Алгебра
  • Автор: sami2142
  • Вопрос задан 8 лет назад

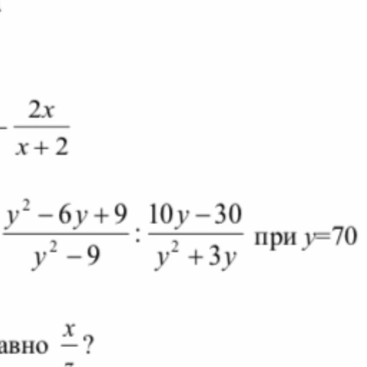
Решите пожалуйста) Желательно ответь фотографией

Приложения:

Ответы

Ответ дал: сок111213
0

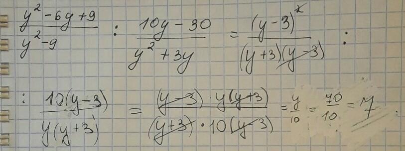
Решение на фотографии .

Приложения:
Ответ дал: Persey132
0
Ви помилились із знаком там 10y - 30 у вас чомусь з'явився +
Ответ дал: Persey132
0

Ответ:

Ось рішення :

Объяснение:

Приложения:
Вас заинтересует