Ответы
                                            Ответ дал: 
                                                                                    
                                        
                                            
                                                
                                                
                                                
                                                    0
                                                
                                            
                                        
                                    Решение на фотографии .
Приложения:
                     
                            
                                            Ответ дал: 
                                                                                    
                                        
                                            
                                                
                                                
                                                
                                                    0
                                                
                                            
                                        
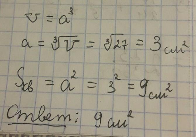
                                    Ответ:
9 см²
Пошаговое объяснение:
Объём куба равен длине ребра, возведённой в куб.
Значит, если ребро обозначить как а, то а=
Площадь квадрата равна а², значит, если площадь обозначить за S, то
S=()²=9 см²
Приложения:
                     
                            Вас заинтересует
                
                        2 года назад
                    
                
                        2 года назад
                    
                
                        3 года назад
                    
                
                        8 лет назад
                    
                
                        9 лет назад