Ответы
Ответ дал:
0
ответ смотри на фотографии
Приложения:

Ответ дал:
0
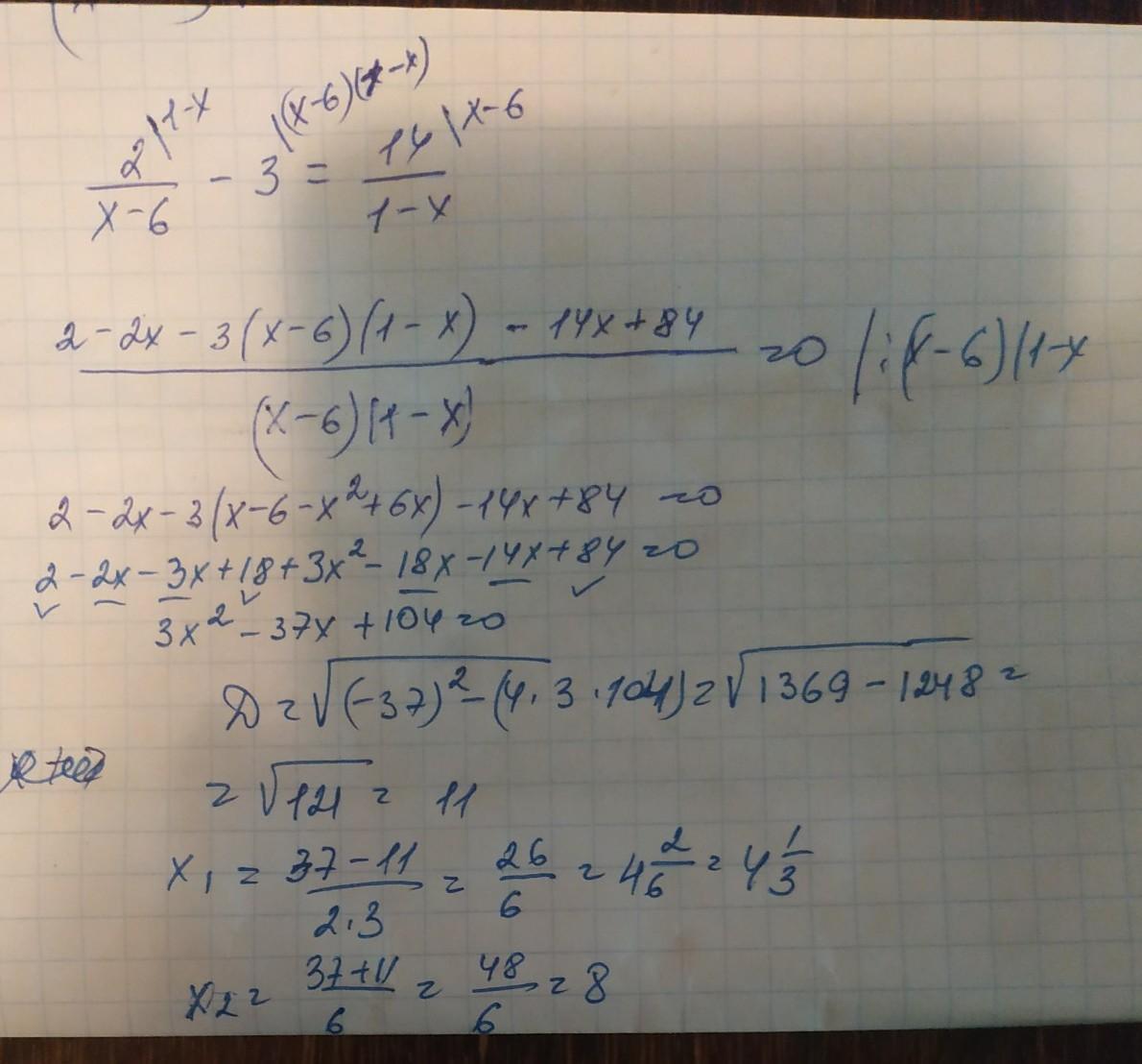
Ответ:8;4 1/3.
Объяснение:2(1-x)-3(x-6)(1-x)=14(x-6) ║(x-6)(1-x)≠0
2-2x-3x+3x²+18-18x-14x+84=0
3x²-37x+104=0, D=37²-3·104·4=1369-1248=121=11²
x1=(37+11)/6=48/6=8, x2=(37-11)/6=26/6=13/3=4 1/3.
оба корня уд-ют условию х≠6,х≠1
Приложения:

Вас заинтересует
3 года назад
3 года назад
8 лет назад
9 лет назад