• Предмет: Алгебра
  • Автор: xlqwdrd
  • Вопрос задан 8 лет назад

ПОМОГИТЕ ПОЖАЛУЙСТА!!!!!!!​

Приложения:

Ответы

Ответ дал: bissenadilp7xjkz
0

Ответ:

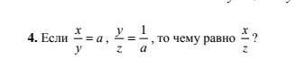
если x/y=a, то y×a=x

x=ya

y/z=1/a

решаем пропорцией

y×a=z×1

z=ya

значит x/z=ay/ay=1

ay/ay=1

Ответ дал: sangers1959
0

Ответ: 1.

Объяснение:

x/y=a        ⇒    x=ay

y/z=1/a      ⇒    z=ay

x/z=ay/ay=1.

Вас заинтересует