• Предмет: Математика
  • Автор: wotvova99
  • Вопрос задан 8 лет назад

прошу дать полный ответ

Приложения:

Ответы

Ответ дал: сок111213
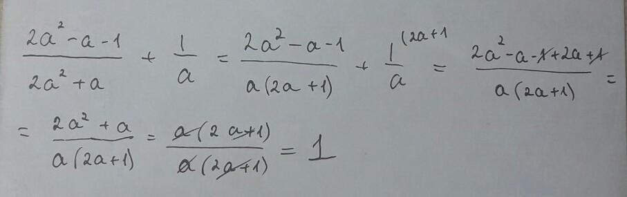
0

Решение на фотографии .

Приложения:
Ответ дал: valeriarasputina
0

Ответ:

1

Пошаговое объяснение:

(2a+1)*(a-1)| a*(2a+1) +1a

a-1a+ 1a

a-1+1a

aa

1

если не понятно могу на листке написать))))))))))))))))0

Приложения:
Вас заинтересует