• Предмет: Алгебра
  • Автор: ArtemGorbych
  • Вопрос задан 8 лет назад

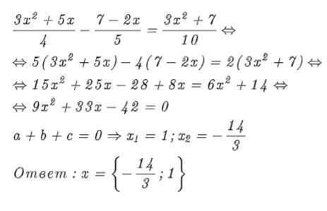
20 баллов. Решить уравнение (3x^2+5x)/4-(7-2x)/5=(3x^2+7)/10

Приложения:

Ответы

Ответ дал: dimaogol2000
0

Ответ:

Объяснение:

Решение внизу↓↓↓↓↓↓↓↓↓↓↓

Приложения:
Вас заинтересует