• Предмет: Математика
  • Автор: inspiratiooon
  • Вопрос задан 8 лет назад

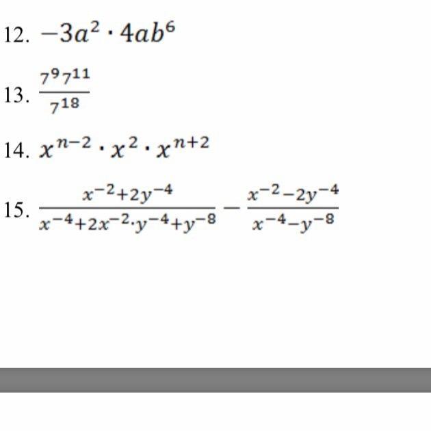
15 задание помогите решить, пожалуйста

Приложения:

Ответы

Ответ дал: bena20193
0

Ответ:

Пошаговое объяснение:

Приложения:
Вас заинтересует