• Предмет: Астрономия
  • Автор: filippsik
  • Вопрос задан 8 лет назад

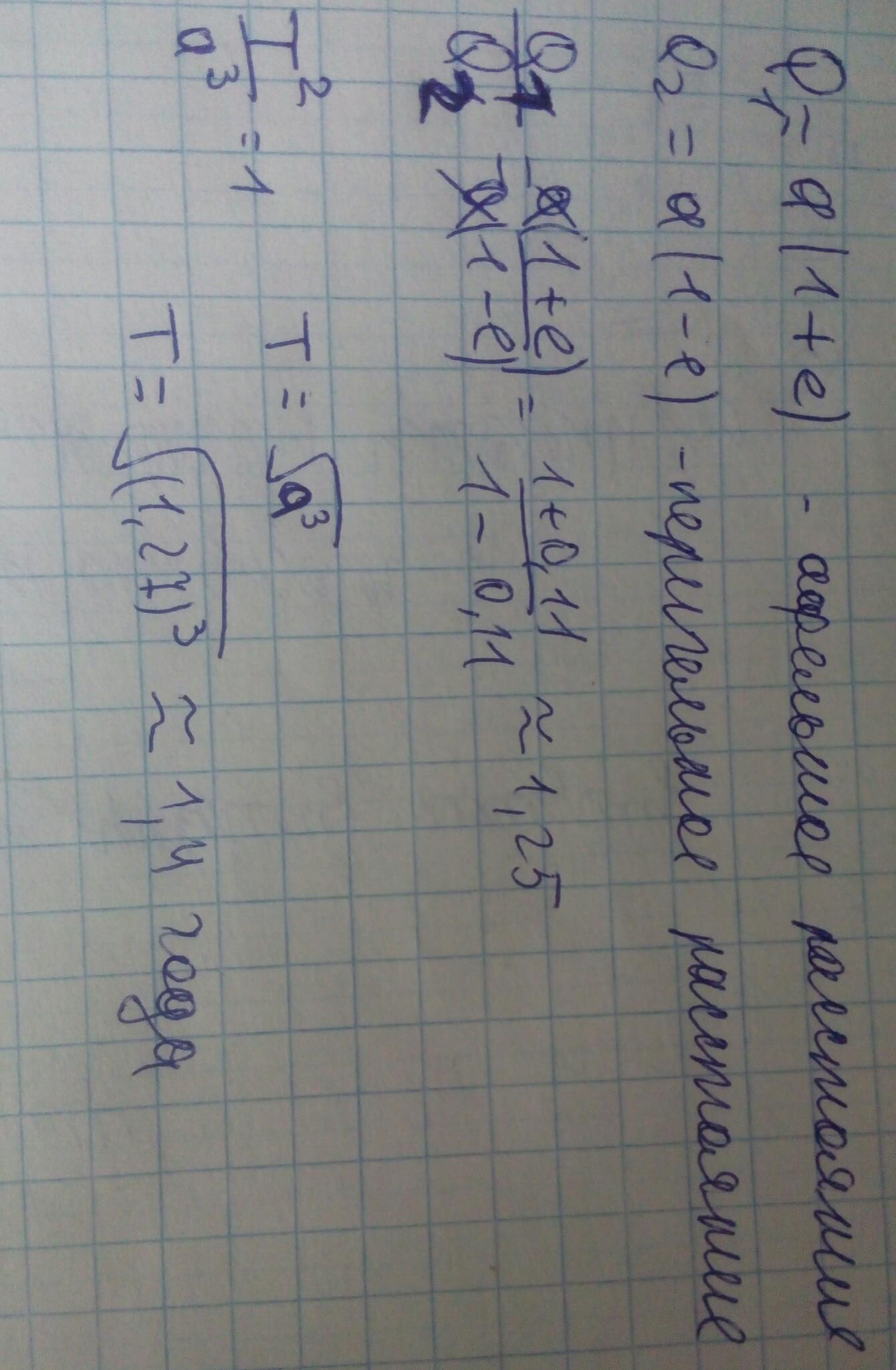
Во сколько раз Урсула в перигелии ближе к Солнцу, чем в афелии? Ответ округлите до сотых.
Определите период обращения Фаэтона вокруг Солнца. Ответ выразите в годах и округлите до сотых.

Приложения:

Ответы

Ответ дал: polkovnik74
0

............................

Приложения:
Вас заинтересует