• Предмет: Математика
  • Автор: l1lyapavlova
  • Вопрос задан 8 лет назад

Помогите, пожалуйста
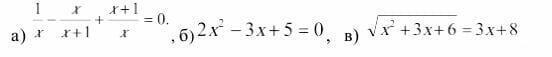
Решите уравнения:

Приложения:

Ответы

Ответ дал: maymr
0

а)

frac{1}{x}-frac{x}{x+1}+frac{x+1}{x}=0\\frac{(x+1)-x*x+(x+1)(x+1)}{x(x+1)}=0\\frac{3x+2}{x(x+1)}=0\\OD3: xneq0 and xneq-1\\3x+2=0\3x=-2\x=-frac{2}{3}

Ответ: -2/3

б)

2x^2-3x+5=0\D=(-3)^2-4*2*5=-31

Ответ: нет решений.

в) sqrt{x^2+3x+6}=3x+8\x^2+3x+6=(3x+8)^2\x^2+3x+6=9x^2+48x+64\-8x^2-45x-58=0\8x^2+45x+58=0\D=45^2-4*8*58=169\sqrt{169}=13\\x_1=frac{-45-13}{16}=-3.625\\x_2=frac{-45+13}{16}=-2

ПРОВЕРКА:

sqrt{(-2)^2+3*(-2)+6}=3*(-2)+8\sqrt{4-6+6}=-6+8\2=2

-2 - подходит

sqrt{(-3,625)^2+3*(-3.625)+6}=3*(-3.625)+8\sqrt{13frac{9}{64}-4.875}=-2.875\sqrt{8frac{7}{64}}=-2.875\frac{sqrt{519}}{8}neq-2.875

-3.625 - не подходит.

Ответ: -2.

Вас заинтересует