• Предмет: Алгебра
  • Автор: kanamari
  • Вопрос задан 8 лет назад

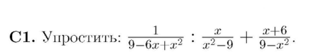
пожалуйста, решите с объяснением!!

Приложения:

Ответы

Ответ дал: solving05
0

Ответ:

Объяснение:

Решение в приложении

Приложения:
Вас заинтересует