• Предмет: Алгебра
  • Автор: sergo123russ
  • Вопрос задан 8 лет назад

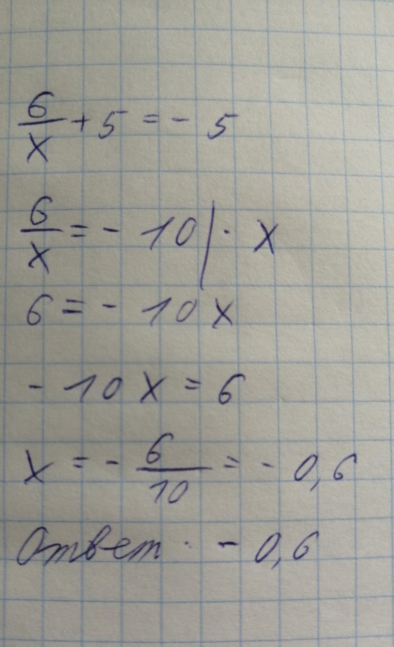
Найдите корень уравнения: 6/x+5=-5

Ответы

Ответ дал: Valentin7272
0

Объяснение:

6:x+5=-5\6:x=-5-5\6:x=-10\x=6:(-10)\x=-0.6

Ответ дал: digastyle
0

Решение на фото................

Приложения:
Вас заинтересует