• Предмет: Алгебра
  • Автор: dasha96666
  • Вопрос задан 8 лет назад

Помогите пожалуйста ​

Приложения:

Ответы

Ответ дал: mariyasolod200
0

Ответ:

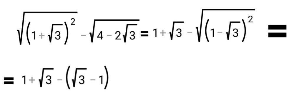
√(4+2×√3)-√(|2×√3-4|)=

Приложения:
Вас заинтересует