• Предмет: Алгебра
  • Автор: VeerlieHero
  • Вопрос задан 8 лет назад

Решить систему уравнений методом сложения. 5 заданий.

Приложения:

Ответы

Ответ дал: trust42
0

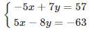
-5x+7y=57

5x-8y=-63

—————

-y=-6

y=6

Подставим значения y в уравнение ( любое )

5x-8•6=-63

5x=-111

x=-22,2

Ответ (-22,2;6)

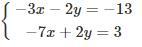
-3x-2y=-13

-7x+2y=3

——————

-10x=-10

x=1

Подставим значения х в любое уравнение

-3•1-2y=-13

-2y=-10

y=5

Ответ : (1;5)

Вас заинтересует