• Предмет: Математика
  • Автор: karpyuk010203
  • Вопрос задан 8 лет назад

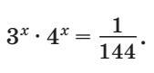
Укажіть проміжок, якому належить корінь рівняння

Приложения:

Ответы

Ответ дал: Andrey0488
0

на фото////////////////

Приложения:
Вас заинтересует