• Предмет: Алгебра
  • Автор: niyaztube12345
  • Вопрос задан 8 лет назад

Помогите решить уравнение 50 б

Приложения:

Ответы

Ответ дал: dimaogol2000
0

Ответ:

Объяснение:

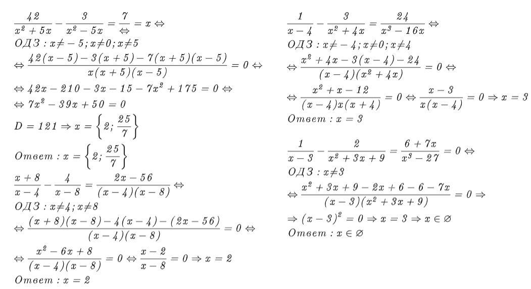
Решение снизу↓↓↓↓↓↓

Приложения:
Вас заинтересует