• Предмет: Алгебра
  • Автор: marinetteselavi
  • Вопрос задан 8 лет назад

Помогите решить алгебру

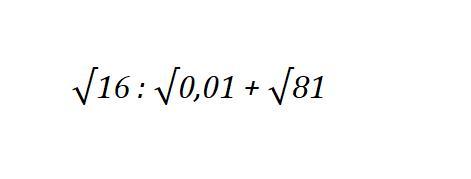
Выполните действие

Приложения:

Ответы

Ответ дал: kolepkris
0

Корень из 16 это 4, корень из 0,01 это 0,1, корень из 81 -9; 4:0,1+9=49

Ответ дал: Yehv826
0

Вот твой ответ:1681

Какой там класс

Приложения:
Ответ дал: marinetteselavi
0
8 класс, а что?
Ответ дал: Yehv826
0
Просто в комен нужно минимум 20 слов вот я и написал класс
Ответ дал: kolepkris
0
Эммм?
Вас заинтересует