• Предмет: Математика
  • Автор: teo4free
  • Вопрос задан 8 лет назад

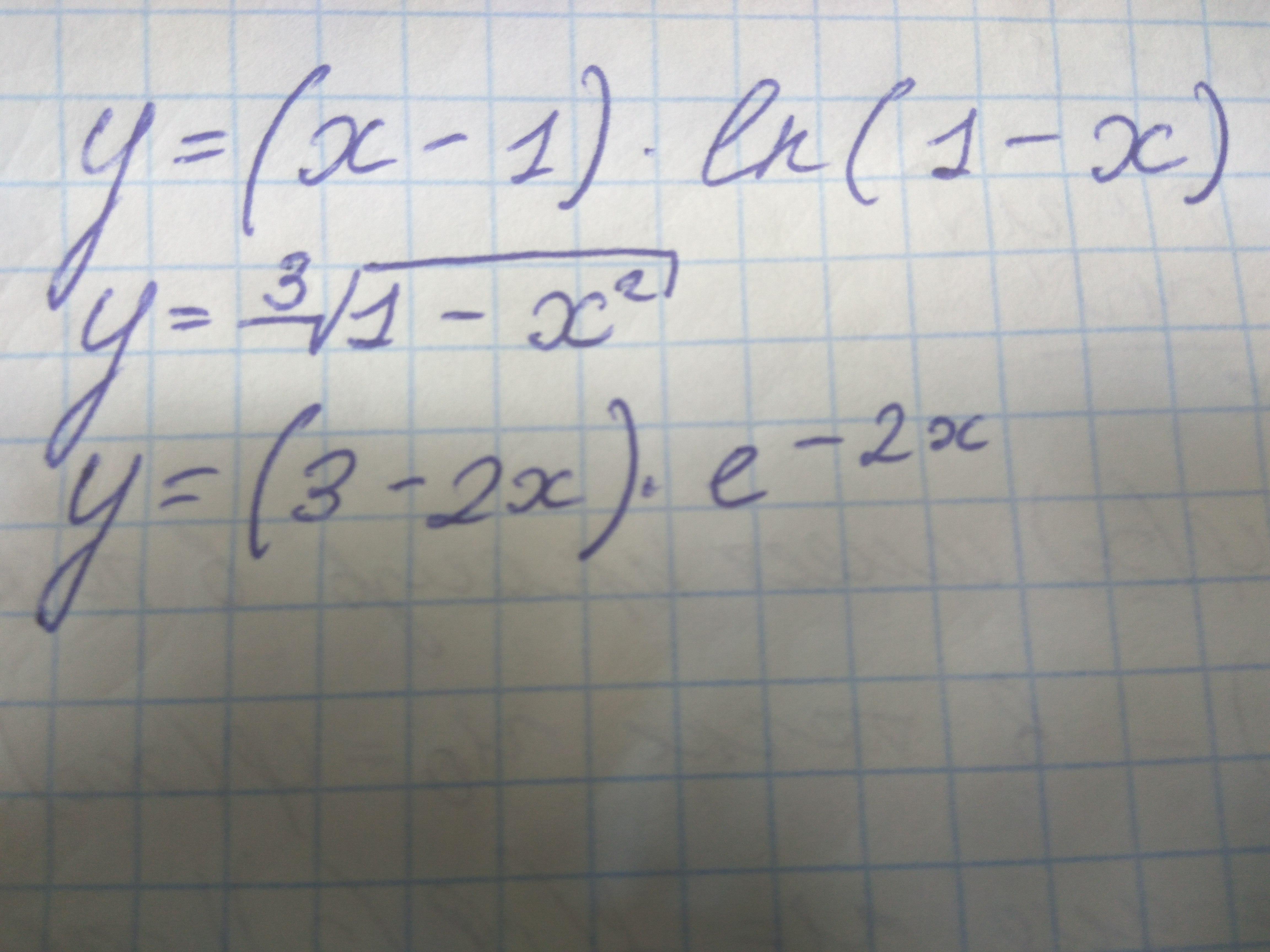
Производные функций, помогите

Приложения:

Ответы

Ответ дал: koshelev32
0

1.d_{y} = x times  ln(1 - x) +  \  + (x - 1) times  frac{1}{1 - x}  = \  =  x ln(x - 1)  - 1

2.d_{y}  =  frac{1}{3}  {(1 -  {x}^{2} )}^{ -  frac{2}{3} }  times  ( - 2x)

3.d_{y}  =  - 2 times  {e}^{ - 2x}  - 2 {e}^{ - 2x} times  \   times (3 - 2x)

Вас заинтересует