• Предмет: Математика
  • Автор: linka2899
  • Вопрос задан 8 лет назад

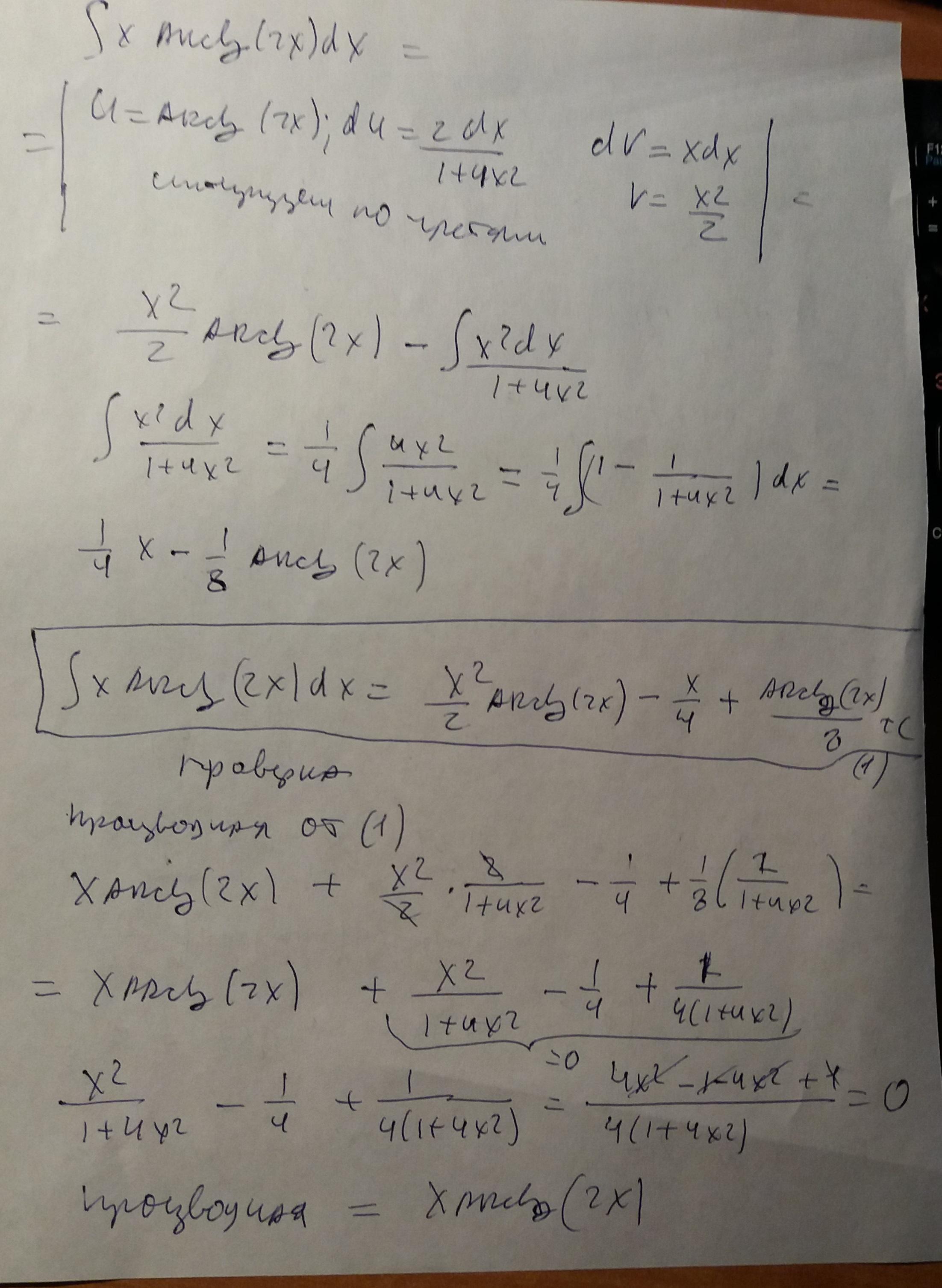
Просьба проверить решение дифференцированием​

Приложения:

Ответы

Ответ дал: bena20193
0

Ответ:

Пошаговое объяснение:

в условии примера ∫x*arctg(2x)dx

поэтому решение исправлено

проверку сделал

решение  исправьте

Приложения:
Ответ дал: linka2899
0
простите за наглость,вы сможете сделать ход работы одного примера?(
Ответ дал: bena20193
0
давайте если смогу конечно, никакой наглости нет этот сайт сделан чтобы люди друг другу помогали
Ответ дал: bena20193
0
интеграл от параметрической функции не знаю, но может кто откликнется и поможет , sorry...
Ответ дал: linka2899
0
хорошо) буду надеяться
Ответ дал: linka2899
0
помогите пожалуйста решить диф уравнения
Вас заинтересует