• Предмет: Алгебра
  • Автор: Valeslav1000
  • Вопрос задан 8 лет назад

Помогите пожалуйста. Очень нужно. ​

Приложения:

Ответы

Ответ дал: ssshh
0

Ответ:

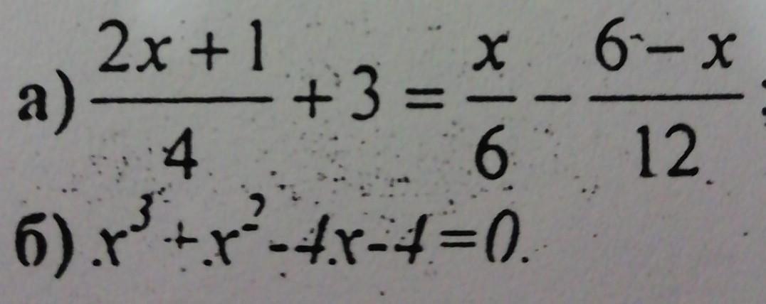
а) x= - 15

б) x1 = -1, x2 = -2, x3 = 2

Объяснение:

а) 3(2x+1) + 36 = 2x - (6-x)

6x + 3 + 36 = 2x - 6 - x

6x + 39 = 3x - 6

6x - 3x = -6 - 39

3x = - 45

x = - 15

б) x^2 * (x+1) - 4 (x+1) = 0

(x+1) * (x^2 - 4) = 0

x + 1 = 0 ; x^2 - 4 = 0

x = - 1

x = - 2

x = 2

Вас заинтересует